“Tiếng Việt từ TK 17: các cách dùng bên kia, hôm kia, hôm kìa, hôm kiết, hôm kiệt, ngày kia, ngày kìa – tương tác giữa thời gian và không gian” (phần 46)

      Nguyễn Cung Thông[1]

Phần này bàn về các cách dùng bên kia, hôm kia, hôm kìa, hôm kiết, hôm kiệt, ngày kia, ngày kìa từ thời LM de Rhodes và các giáo sĩ Tây phương sang Á Đông truyền đạo. Đây là lần đầu tiên cách dùng này hiện diện trong tiếng Việt qua dạng con chữ La Tinh/Bồ (chữ quốc ngữ), điều này cho ta dữ kiện để xem lại một số cách đọc chính xác hơn cùng với các dạng chữ Nôm cùng thời. Phần sau mở rộng chủ đề bàn thêm về tương quan giữa không gian và thời gian trong tiếng Việt, đặc biệt là từ lăng kính liên hệ gia đình/xã hội qua cách dùng đại từ nhân xưng. Tài liệu tham khảo chính của bài viết này là các tài liệu chép tay của LM Philiphê Bỉnh (sđd) và bốn tác phẩm của LM de Rhodes soạn: (a) cuốn Phép Giảng Tám Ngày (viết tắt là PGTN), (b) Bản Báo Cáo vắn tắt về tiếng An Nam hay Đông Kinh (viết tắt là BBC), (c) Lịch Sử Vương Quốc Đàng Ngoài 1627-1646 và (d) tự điển Annam-Lusitan-Latinh (thường gọi là Việt-Bồ-La, viết tắt là VBL) có thể tra tự điển này trên mạng, như trang http://books.google.fr/books?id=uGhkAAAAMAAJ&printsec=frontcover#v=onepage&q&f=false.

Các chữ viết tắt khác là Nguyễn Cung Thông (NCT), Hán Việt (HV), Việt Nam (VN), ĐNA (Đông Nam Á), LM (Linh Mục), CG (Công Giáo), PG (Phật Giáo), TVGT (Thuyết Văn Giải Tự/khoảng 100 SCN), NT (Ngọc Thiên/543), ĐV (Đường Vận/751), NKVT (Ngũ Kinh Văn Tự/776), LKTG (Long Kham Thủ Giám/997), QV (Quảng Vận/1008), TV (Tập Vận/1037/1067), TNAV (Trung Nguyên Âm Vận/1324), CV (Chính Vận/1375), TVi (Tự Vị/1615), VB (Vận Bổ/1100/1154), VH (Vận Hội/1297), LT (Loại Thiên/1039/1066), CTT (Chính Tự Thông/1670), TViB (Tự Vị Bổ/1666), TTTH (Tứ Thanh Thiên Hải), KH (Khang Hi/1716), P (tiếng Pháp), A (tiếng Anh), L (tiếng La Tinh), VNTĐ (Việt Nam Tự Điển/Hội Khai Trí Tiến Đức), ĐNQATV (Đại Nam Quấc Âm Tự Vị) …v.v… Kí, kì còn có thể viết là ký/kì (Kí  ~ tên người, tên sách) và trang/cột/tờ của VBL được trích lại từ bản La Tinh để người đọc tiện tra cứu thêm. Tương quan Hán Việt ghi nhận trong bài không nhất thiết khẳng định nguồn gốc của các từ liên hệ (có gốc Việt cổ, Thái cổ, Chăm cổ hay Hán cổ). 

VBL trang 379

  1. Kia chỉ một khoảng cách trong không gian, thời gian hay liên hệ/xã hội

1.1 Kia hàm ý ở một nơi/không gian xa hơn hay có một khoảng cách đối với người nói, nhưng có thể nhìn thấy, như bên kia (VBL trang 379), tự điển Béhaine (1772/1773) còn ghi thêm các cách dùng đàng kia (~ đàng nọ), nơi kia (~ nơi nọ).

Kia (không gian xa) hiện diện trong Hồng Đức Quốc Âm Thi Tập 8a:

棱箕布榖群𣅙𪢊. 廊怒農夫㐌式𦣰

Rừng kia bồ cốc còn khuya gióng. Làng nọ nông phu đã thức nằm

1.2 Kia còn chỉ một nhân vật được nói đến hay ngôi thứ ba, hay ngôi thứ hai khi có thêm thông tin của người nói (td. mắt nhìn, tay chỉ …): VBL trang 379 ghi cách dùng thầy kia, BBC ghi các cách nói ơ thàng kia, ơ bốn thằng kia – xem hình chụp bên dưới:

 BBC trang 11

Tự điển Béhaine (1772/1773) và Taberd (1838) ghi thêm cách dùng người kia.

Kia cũng hiện diện trong Truyền Kỳ Mạn Lục II, Tản Viên 42a:

𠀲箕實與孟,咍害子文𠱋

Đứa kia thực dữ mạnh, hay hại Tử Văn ru.

1.3 Kia đặc biệt dùng chỉ khoảng cách thời gian so với hiện tại (hôm nay, ngày rày), thanh điệu cũng thay đổi như kia – kìa phản ánh khoảng cách nhiều hơn so với cách dùng (lúc) nay – này (ni)  – nẩy, (ở) đây – đấy, nó và nọ. Để ý chữ Nôm kia và kìa đều dùng chữ ki/cơ 箕 .

hôm kia ~ nudius tertius (L, VBL trang 335, 379) nghĩa là cách đây ba ngày

hôm kìa ~ nudius quartus (L, VBL trang 335, 379) nghĩa là cách đây bốn ngày

hôm kiết ~ nudius quartus (L, VBL trang 379) nghĩa là cách đây bốn ngày – trùng nghĩa với hôm kìa (?) – xem thêm Phụ Trương mục 1.

ngày kiết: VBL không ghi nghĩa bằng tiếng Bồ Đào Nha hay tiếng La Tinh. Các tác giả[2] sau này khi phiên dịch lại ‘thêm’ vào là ‘cùng một nghĩa với hôm kiết’. Người viết/NCT, dựa vào cách dùng hôm và ngày của VBL, đề nghị nghĩa của ngày kiết là bốn ngày sau  ~ sau ngày hôm nay bốn ngày chứ không phải là cách đây 4 ngày hay hôm kiết – xem thêm chi tiết trong phụ chú 16 về chữ hôm trong phần tiểu kết :

hôm kiệt ~ nudius quintus (L, VBL trang 335, 379) nghĩa là cách đây năm ngày

ngày kia ~ ngày tê ~ postridie (L, VBL trang 379, 519) nghĩa là ngày (hôm) sau[3]

mai ~ cras/L, VBL trang 445 – VBL trang 694 phân biệt sớm mai và mai sớm (sáng hôm sau)

ngày kìa ~ diebus quatuor elapsis (L, VBL trang 519) nghĩa là bốn ngày sau (sau ngày hôm nay bốn ngày)

VBL trang 381 – ngày kiết không ghi nghĩa !

 Từ điển chép tay từ VBL – khoảng TK 18

Cụ Huỳnh Tịnh Của còn ghi dạng kỉa (dấu hỏi – bữa kia bữa kỉa, ĐNQATV sđd) hàm ý cách bốn ngày. Cụ Gustave Hue (1937) thì ghi là kĩa (dấu ngã): hôm kĩa là trước đây 4 ngày, ngày kĩa là sau hôm nay hay 4 ngày nữa, năm kĩa là trước đây 4 năm[4].

 ĐNQATV Tome I trang 512

Gustave Hue (sđd, 1937)

Kia còn mở rộng nghĩa để chỉ một thời điểm nào đó (trong quá khứ hay tương lại) không xác định như xưa kia  初箕 (Béhaine/Taberd). Một điểm đáng chú ý là tự điển tiếng Việt (Hoàng Phê chủ biên, Viện Ngôn Ngữ Học – NXB Đà Nẵng 2003) lại không ghi nghĩa hôm kỉa, kĩa, kịa hay hôm kiết, hôm kiệt, ngày kiệt (cách đây năm ngày) hay ngày rày là hôm nay, bữa nay (hodie/L, VBL trang 633). Ngoài ra, ngày kia còn được gọi là ngày mốt (từng được Béhaine, Taberd, Theurel ghi nhận) nhưng không thấy xuất hiện trong VBL, BBC hay PGTN.

  1. Các liên hệ mở rộng của kia, kìa, kỉa và ki, kì, kí HV

VBL ghi các nghĩa khác nhau của kì như sau (a) kinh kì là thủ đô của xứ Đông Kinh – tương ứng với 京畿 kinh kì HV (b) hương kì nam là loại gỗ thơm và quý hiếm (calamba) – tương ứng với 琦𪻳 kì nam HV (một loại trầm hương) (c) tế kì đạo là lễ cúng thần linh cho thuyền chiến – kì tương ứng với 旗 kì HV (~ cờ) (d) thần kì, thổ kì: thổ kì nghĩa là thần đất – tương ứng với 土祇 thổ kì HV (td. cách dùng này hiện diện trong Nguỵ Thư năm 554 SCN) (e) kì giờ là hẹn giờ – kì tương ứng với 期 kì HV (động từ kì[5] nghĩa là hẹn/mong đợi, danh từ có nghĩa là một khoảng thời gian giới hạn …) (f) kì mềnh (kì mình) : kì là dùng tay chà rửa cho sạch ; chữ Nôm dùng kì HV 淇 (nguyên nghĩa HV là sông Kì ở Hà Nam) theo Béhaine/Taberd/ĐNQATV (g) các kì sự là tất cả mọi sự – kì tương ứng với 其 kì HV, VBL cũng ghi cách dùng sự nọ sự kia (h) kì, thửa chỉ người đã được nhắc đến – tương ứng với 其 kì HV (chỉ nó/hắn/gã, đại từ ngôi thứ ba). Các nét nghĩa (g) và (h) cho thấy một liên hệ ngữ âm giữa kia và kì HV 其, gợi ý cho ta xem lại các cách đọc và cách dùng cổ của chữ kì này.

2.1 Chữ kì/ki/kí/kị 其 (thanh mẫu khê 溪, vận mẫu tề vi 齊微, khai khẩu tam đẳng, dương bình thanh) có các cách đọc theo phiên thiết

渠之切 cừ chi thiết (TVGT, ĐV, QV, TV, VH, LT, TG 字鑑, LTCN 六書正譌) TV ghi bình thanh

居之切 cư chi thiết (TVGT Chú/Đoàn Ngọc Tài, ĐV, TV, VH, LT, LTCN 六書正譌) TV ghi bình thanh – đây cũng là một cách đọc của chữ ki 箕- (xem thêm các hình chụp mục 2.4). Như vậy kì còn có thể đọc là ki : chú ý là đa số các tài liệu HV không ghi âm này!

巨之切 cự chi thiết (NT, TTTH)

居宜反 cư nghi phản (LKTG)

渠宜切,音碁 cừ nghi thiết, âm kì (CV)

通作記 thông tác kí (Kinh Lễ – Biểu Kí)

居吏切 cư lại thiết (TV, VH, LT) TV ghi khứ thanh

吉器切,音寄 cát khí thiết, âm kí (CV, TVi) so với các âm kì, ki như ghi nhận bên trên.

堅溪切 kiên khê thiết (CV)

或作忌 hoặc tác kị (VH) …v.v…

Giọng BK bây giờ là jī qí so với giọng Quảng Đông gei1 kei4 và các giọng Mân Nam 客家话 [沙头角腔] ki2 [台湾四县腔] ki2 [海陆腔] ki2 [宝安腔] ki2 [梅县腔] ki2 [东莞腔] ki2 [客英字典] ki2 [客语拼音 字汇] gia1 ki2 [陆丰腔] ki3, 潮州话 ki5 (khî)[潮阳]ki2 (khí), tiếng Nhật ki gi và tiếng Hàn ki. Dựa vào các phương ngữ và phiên thiết, một dạng âm trung cổ phục nguyên của kì là *giə (td. theo Vương Lực, Lí Vinh, Thiệu Vinh Phân, Axel Schuessler[6]). Dạng *giə trung cổ chỉ khác dạng kia tiếng Việt ở phụ âm đầu là phụ âm hữu thanh g- so với phụ âm cuối lưỡi vô thanh k-, một tương quan khá rõ nét giữa âm HV và Việt: td. như cương (kính) ~ gương, cưỡng ~ gượng, can – gan, cận – gần, cẩm – gấm, cấp – gấp, kỉ – ghế, kế – ghẻ (cha/mẹ ghẻ), kí – ghi … Xem thêm chi tiết trong bài “Tiếng Việt từ TK 17: các cách dùng cái đồng, kính, gương, chiếu kính, soi gương, soi đồng, ống dòm” (phần45).

Tương quan giữa vần HV và Việt ki/kì – kia/kìa còn thấy trong các trường hợp như

li 離 – lìa

li đọc theo phiên thiết 呂支切 lân chi thiết (TVGT, QV), 鄰知切 lân tri thiết (TV, VH) – để ý chi cũng liên hệ đến chia, chìa …

bi 碑 – bia

bi đọc theo phiên thiết 彼爲切 bỉ vi thiết (QV), 府眉切 phủ mi thiết (TVGT) – âm vi vận bộ ca 歌, còn âm mi vận bộ chi 脂 khác với chi 支

皮 – bìa

bì đọc theo phiên thiết 符羈切 phù ki thiết (TVGT, ĐV)

trì 池 – đìa

trì đáng lẽ đọc là *tr/d-i theo phiên thiết 直離切 trực li thiết (QV) – vận bộ chi 支

thi 匙 – thìachìa (chìa khoá)

thì đọc theo phiên thiết 是支切 thị chi thiết (TVGT, ĐV), 常支切 thường chi thiết (TV, VH) – vận bộ chi 支

chi 支 – chia

chi đọc theo phiên thiết 章移切 chương di thiết (TVGT, ĐV, TV, VH)

nghĩa đáng lẽ đọc là *ŋiɛ theo phiên thiết 宜寄切 nghi kí thiết (QV, TV, VH) – để ý vận bộ chi 支

địa đáng lẽ phải đọc là *di theo phiên thiết 徒二切 đồ nhị thiết (VH), 徒利切,音弟 đồ lợi thiết, âm đệ (CV) – vận bộ chi 支  …v.v…

2.2 Kì từng dùng để chỉ sự vật hay nhân vật nào đó (hắn, gã, nó, chúng nó …), thuộc vào đại từ nhân xưng ngôi thứ ba hay còn dùng cho trường hợp sở hữu cho ngôi thứ ba. Thí dụ như trong Sử Kí, do Tư Mã Thiên viết từ năm 109 TCN đến năm 91 TCN, phần Lão Tử – Hàn Phi Liệt Truyện có đoạn:

鳥, 吾知其能飛; 魚, 吾知其能遊; 獸, 吾知其能走

Điểu, ngô tri kì năng phi; ngư, ngô tri kì năng du; thú, ngô tri kì năng tẩu

Tạm dịch/NCT: loài chim, ta biết (chúng) nó biết bay; loài cá, ta biết (chúng) nó biết lội; loài thú, ta biết (chúng) nó biết chạy.

親之欲其貴也,愛之欲其富也

Thân chi dục kì quý dã – ái chi dục kì phú dã

(Tạm dịch/NCT: thương nó (em) và mong nó (em) sẽ có tính cách cao quý, yêu nó (em) và mong nó (em) trở nên giàu có – đây là đoạn Mạnh Tử bàn về người anh nuôi dưỡng em trong cuốn Mạnh Tử – Vạn Chương Thượng 《孟子·萬章上》. Mạnh Tử là một trong Tứ Thư soạn vào khoảng TK 4 TCN. VBL có nhắc đến Tứ Thư[7] trong mục tứ cho thấy ảnh hưởng của đạo Khổng (< tam giáo) không nhỏ trong đại chúng vào TK17 (mục tứ, VBL trang 841).

Cách dùng đại từ nhân xưng ngôi thứ ba còn để lại vết tích[8] trong tiếng Ngô (吳語 Ngô ngữ, phương ngữ Trung Hoa) thuộc vùng Thượng Hải. Thí dụ như các tiếng Ôn Châu (溫州話 Ôn Châu thoại), Hàng Châu (杭州話 Hàng Châu thoại), Đan Dương (丹陽), Tô Châu (蘇州閒話 Tô Châu gian thoại), Thiệu Hưng (紹興) vẫn còn dùng dạng *ki, *kơ hay *ke cho đại từ nhân xưng ngôi thứ ba.

Phạm trù nghĩa và âm đọc của ki như trên còn tương ứng với kia tiếng Việt, tuy nhiên chỉ thấy dùng làm phó từ chỉ ngôi thứ ba hay khi ở xa người nói – thí dụ trích từ VBL và BBC

Thầy kia (ông thầy ở đằng kia)

Thằng kia (thằng nhỏ ở đằng kia) so với thằng này

2.3 Đại từ kia là một cách dùng phản ánh phần nào tư duy tổng hợp từ hai quy chiếu (a) liên hệ xã hội/con người (b) liên hệ gần xa (không gian). Thí dụ như hỏi tên một người trong tiếng Việt thường là

(a) tuỳ theo quan hệ xã hội: em/anh/cô/chị/bác/ngài … bạn … hay quy chiếu (a)

(b) ở đàng xa: kia, ấy, đó … hay quy chiếu liên hệ gần xa/không gian (b)

(a) + (b) = anh kia > anh kia tên gì? Còn nếu ở gần (trước mặt) thì hỏi anh này (đây) tên gì? so với anh tên gì? (có ba người đối diện người nói nhưng ở các vị trí từ gần đến xa).

So với tiếng Anh chỉ dùng một từ là you hay your (your name ~ tên anh/chị): you: what’s the name? ~ what is your name? Đại từ tiếng Anh you không cho biết nhiều thông tin như ‘cụm đại từ’ anh/em/cô/bác kia của tiếng Việt[9].

So với tiếng Pháp cũng tương tự – đại từ nhân xưng vous hay tu > Comment vous-appelez vous? hay Comment t’appelles-tu?

Cách dùng đại từ nhân xưng chúng tôichúng ta cũng cho thấy hai quy chiếu (a) liên hệ xã hội/con người và (b) liên hệ gần xa – khác với cách dùng we (tiếng Anh) và nous (Pháp)

Chúng ta hay mớ ta (VBL) (tập hợp trong gạch đứt nét – – -) ~ chúng tao (khẩu ngữ) hay chúng tôi (tập hợp trong gạch liên tục). Cộng đồng có nghĩa đặc biệt (lớn hay nhỏ hơn – có anh/chị/người nghe hay không? liên hệ mở rộng/xa hơn. Thí dụ như trong một phòng họp, khi nghe nói bằng tiếng Anh “We are not happy with the local government” (chúng tôi không hài lòng với chính quyền địa phương – NCT) thì cần phải xem lại người nói hàm ý những ai, nhóm nào (~ chúng tôi, nhóm của chúng tôi); hay nếu người nói ám chỉ tất cả các người hiện diện trong phòng họp hay cộng đồng mở rộng (lớn hơn, bao gồm nhiều người hơn, xa hơn) (~ chúng ta, tất cả mọi người) – phản ánh qua câu nói tương đương trong tiếng Việt “Chúng ta không hài lòng với chính quyền địa phương”. Với tư duy tổng hợp hay nhìn từ xa, tiếng Việt cho ta khả năng phân biệt được từng nhóm hay tất cả các người trong phòng họp – môi trường chung quanh người nói trở thành quan trọng so với cá nhân từng người trong môi trường ấy. Sự khác biệt giữa chúng tôi và chúng ta (chúng tôi mở rộng nghĩa và bao gồm nhiều người hơn – gọi là tính chất bao gồm của đại từ/clusivity) trong tiếng Việt, có lẽ lần đầu tiên được giải thích trong VBL[10] (năm 1651) cũng như trường hợp tương tự cho các tiếng Peru (languages of Peru) viết vào năm 1560 bởi LM Domingo de Santo Tomás (một LM Dòng Đa Minh).

Do đó, không phải là ngẫu nhiên khi dịch đại từ nhân xưng ngôi thứ ba số ít/giống đực của tiếng La Tinh là ille (giống cái là elle), LM Taberd đã phải dùng nhiều từ tiếng Việt cho rõ ý:

 Tự điển La Tinh – Việt (Taberd – 1838)

2.4 Các tài liệu chữ Nôm (xem mục 1 ở trên) đều kí âm kia bằng chữ ki HV 箕 viết với bộ trúc, dù rằng cách dùng này liên hệ đến ngôi thứ ba hay nhân vật không gần người nói. Do đó chữ này cũng dùng như chữ kì trong tài liệu Hán cổ (Thuyết Văn Giải Tự, Tự Giám …). Các dữ kiện này hỗ trợ cho tương quan của kì/ki HV và kia tiếng Việt. Có lẽ nên ghi thêm chi tiết ở đây là trong các thư tịch Hán cổ như Tự Giám 字鑑 viết vào thời nhà Nguyên (1279-1368) bởi học giả 李文仲 Lý Văn Trọng: tài liệu này ghi rằng kì 其 cổ văn là ki 箕 –  xem hình chụp bên dưới. Điều này còn được học giả Đoàn Ngọc Tài nhắc lại trong cuốn Thuyết Văn Giải Tự Chú, ông ghi thêm là trong 籒文 (Trứu văn, hay Đại triện ~ loại chữ trước thời nhà Tần khoảng 1046 – 403 TCN) thì kì là ki.

 

  1. Tê là kia, ngày kia là ngày tê, ông kia là ông tê

Một cách dùng tương đương với kia là tê như ghi nhận trong các trang 379 và 728-729 VBL (xem hình chụp).

VBL trang 729

ngày kia ~ ngày tê ~ postridie (L, VBL trang 379, 519) nghĩa là ngày (hôm) sau.

ông kia ~ ông tê ~ ille alius Dominus (L, VBL trang 729) nghĩa là ông ấy

Trang 729 còn ghi chú thêm là tê dùng trong các tỉnh phía nam (hàm ý Đàng Trong) thay cho kia. Đọc kỹ VBL cho ta thấy cách dùng địa phương, thí dụ như VBL trang 403 giải thích nói lắp là nói cà lăm. Điều đáng chú ý là thời VBL không thấy dạng cà lăm, cho đến thời Béhaine (1772/1773) ở Đàng Trong mới ghi dạng cà lăm. Ở Đàng Ngoài thì lại thường dùng nói lắp (Trương Vĩnh Ký, sđd): một số cách dùng trong VBL đã cho thấy những cách dùng khác nhau, dù Đàng Trong và Đàng Ngoài chỉ mới tách ra trước đó không lâu và sự phân kì địa lý (và chính trị) chưa tạo ra những cách dùng riêng biệt rõ nét (phương ngữ). Thí dụ như các cách dùng tương đương đã xuất hiện trong VBL như lợn – heo (sinh), mũ – nón, mền – chăn, đau – ốm, vừng – mè, mận – roi, quả – trái, bông – hoa, lội – bơi, thương – yêu, chén – bát, viết – bút, lắp – lăm, mô – đâu/gì, tê – kia …v.v…

Phía nam của Đàng Trong là vương quốc Chiêm Thành, mà ngay cả Đàng Trong từ TK 17 cũng từng là lãnh thổ Cổ Chiêm Thành, dẫn đến một hệ luận là có thể tiếng Việt còn duy trì một số vết tích hay giao lưu ngôn ngữ/văn hoá với Chiêm Thành trong quá trình hình thành ngôn ngữ toàn dân. Xem lại cách dùng ngày kia ~ ngày tê và ông kia ~ ông tê: một điều đáng chú ý là tiếng Chăm tê (hay têh, deh) có nghĩa là kia, như haray têh là ngày kia (Từ điển Việt Chăm, sđd), sang têh là nhà kia …v.v… Nét nghĩa này cũng xuất hiện trong các tài liệu khác như tự điển Chăm Pháp (Aymonier, NXB E. Leroux 1906), từ điển Chăm Việt Pháp (G. Moussay – Po Dharma – Viện Viễn Đông Pháp 1971) như các trang chụp lại bên dưới:

  1. Bàn thêm về khái niệm thời gian trong tiếng Việt và Hán ngữ

4.1 VBL trang 862 từng ghi nghĩa mở rộng của các từ chỉ không gian như sau, trước dùng để chỉ thời gian: ngày sau, ngày trước – xem hình chụp bên dưới. Một cách giải thích là người nói (speaker/A hay còn gọi là ego) nhìn thấy phía trước hay các việc đã qua (trải nghiệm) nên trước được dùng để chỉ quá khứ như trong tiếng Việt hay Hán ngữ (tiền).

VBL trang 682 – theo sau (không gian) và ngày/đời .. sau (thời gian).

Các cách dùng hôm qua, hôm kia/kìa/kỉa phản ánh cách nhìn thời quá khứ như sự việc đã đi xa, đã qua, đã rồi – quy chiếu thời gian cũng như quy chiếu không gian vậy. Ở đàng kia (không gian) có một khoảng cách đối với người nói, cũng như hôm kia cũng đã qua rồi với khoảng cách thời gian là 3 ngày, người kia cũng là ngôi thứ ba (người ấy) hàm ý không phải ở ngay trước mặt người nói mà có một khoảng cách rõ ràng. Mở rộng khái niệm không gian để chỉ thời gian rất thường gặp trong ngôn ngữ, thí dụ như Hán ngữ cũng dùng quá/qua 過 (đi qua) hay tiền 前 (trước) cho quá khứ, và hậu 後 (sau) cho tương lai hay ‘sau này’. So sánh các cách dùng

tiền thiên 前天            hôm kia           Ototoi (tiếng Nhật) おととい

tạc thiên 昨天             hôm qua          Kinō 昨日 (để ý không dùng thiên 天 chỉ ngày)

kim thiên 今天            hôm nay          Kyō 今日

minh thiên 明天          ngày mai          Ashita 明日

hậu thiên 后天            ngày kia           Asatte 明後日

…v.v…

Tuy nhiên, cách dùng thời gian từ không gian theo chiều thẳng đứng của Hán ngữ lại khác với tiếng Việt: thượng chu 上周 hay thượng tinh kì 上星期 – so với tiếng Việt là tuần trước hay tuần qua; hạ chu 下期 hay hạ tinh kì 下星期 so với tiếng Việt là tuần sau hay tuần tới. Thượng cá nguyệt 上个周 hay thượng nguyệt 上月 nghĩa là tháng trước. Tương tự như cách dùng “thượng thuyền” (lên thuyền) 上船 hay “đăng thuyền” 登船 trong Hán ngữ: tiếng Việt thời VBL (TK 17) lại dùng xuống thuyền vì nhìn từ vị trí người nói hay từ góc nhìn xa hơn, không phải nhìn từ vị trí người đang di động để lên đến một nơi cao hơn (lên thuyền). Đây là cách nhìn dựa vào người nói (speaker/A) làm trung tâm hay điểm gốc (egocentric/A). Một số ngôn ngữ[11], td. tiếng Việt và tiếng Trung Quốc, dùng các từ chỉ không gian để chỉ thời gian. Tiếng Việt, với 6 thanh, đã tận dụng đặc tính này để tạo ra một số từ liên hệ rất thú vị:

đây                  đấy (phụ âm đầu lưỡi đ-)

nay (ni)            này, nãy, nữa – rày (phụ âm đầu lưỡi n- r-)  so với nọ (không gian) và nó (đại từ ngôn thứ ba số ít)

kia                   kìa, kỉa (không gian, phó từ) so với ki/kì (đại từ nhân xưng, sở hữu)

kiết                  kiệt (VBL trang 381)

…v.v…

4.2 Tương tác giữa không gian và thời gian – lý thuyết tương đối

Thời gian thay đổi theo một chiều, được xác định bởi đồng hồ, và hoàn toàn độc lập: đây là nền tảng của Vật Lý cổ điển (Classical Physics) và cơ bản khoa học cho nhiều áp dụng kỹ thuật, ngay cả trong các công trình thám hiểm mặt trăng hay vũ trụ.Tuy nhiên, lý thuyết tương đối của nhà bác học Albert Einstein (1905) đã cho thấy khả năng thời gian và không gian có thể liên hệ. Phải chăng liên hệ thời không gian đã thể hiện phần nào qua ngôn ngữ con người từ xa xưa? Thí dụ như cách dùng từ không gian để chỉ thời gian như đã bàn bên trên chẳng hạn. Một trường hợp nữa là cụm danh từ HV vũ trụ 宇宙, từng xuất hiện trong cuốn Trang Tử 莊子 (khoảng TK 5 TCN), hay trong Thi Tử 屍子 (tác giả là Thi Giảo 尸佼 sống vào TK 4 TCN) ghi rằng “thượng hạ tứ phương viết vũ, vãng cổ lai kim viết trụ 上下四方曰宇,往古來今曰宙” tạm dịch/NCT bốn phương trên dưới của không gian thì gọi là vũ, quá khứ và tương lai của thời gian thì gọi là trụ[12]“. Nét nghĩa nguyên thuỷ của vũ trụ rõ ràng cho thấy liên hệ giữa không gian và thời gian vì chúng luôn dùng chung với nhau, không phải như nét nghĩa hậu kì của vũ trụ mà ta thường hiểu là không gian vật thể (universe/A) – dựa vào nghĩa của vũ 宇 là mái hiên nhà, nhà cửa và trụ 宙 là các cột khung nhà (cả hai chữ đều dùng bộ miên hàm ý nhà cửa, bao trùm). Ý này cũng được lặp lại trong Hoài Nam Tử – Tề tục huấn: vãng cổ lai kim vị chi trụ , tứ phương thượng hạ vị chi vũ

【淮南子·齊俗訓】往古來今謂之宙,四方上下謂之宇.

Cuốn Hoài Nam Tử là một tài liệu triết học thời Hán xuất hiện vào khoảng TK 2 TCN.

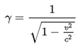
Gần đây hơn, các nhà khoa học đã tìm thấy liên hệ định lượng (dù rất nhỏ) giữa thời gian (td. đo bởi đồng hồ) và không gian (td. khoảng cách giữa các khối lượng, vận tốc di chuyển). Đây là hiện tượng kéo dài thời gian (giãn nở thời gian ~ Time dilation/A): đại khái là thời gian sẽ chậm lại khi di chuyển nhanh hơn (vận tốc lớn hơn). Nói cách khác là thời gian t’ của người di chuyển với vận tốc v sẽ nhỏ hơn thời gian t của người cố định (v = 0) đo bởi đồng hồ, lý thuyết tương đối cận đại cho ta công thức Lorentz ɣ kết nối hai thông số t’ và t:

t’ = ɣt  với  c = vận tốc ánh sáng trong chân không = 299.792.458 m/s hay khoảng 300.000 km/s cho dễ nhớ

Khi cố định (không di chuyển, hay v = 0) hay trong các chuyển động bình thường (hàng ngày) trên trái đất thì v rất nhỏ so với vận tốc ánh sáng c, do đó tỷ số v/c trở nên rất nhỏ (~ 0) dẫn đến kết quả t’ ~ t hay thời gian cho hai khung quy chiếu (người cố định và người di chuyển) hầu như không thay đổi (Vật Lý cổ điển). Tuy nhiên, khi phân tách các chuyển động của các hạt nhân nguyên tử, với vận tốc gần bằng vận tốc ánh sáng, tỷ số v/c không nhỏ và kết quả có thể rất khác biệt so với kết quả từ Vật lý cổ điển – lý thuyết mới này thuộc về môn Cơ Học lượng tử (Quantum Mechanics). Chúng ta hãy thử xem vài ứng dụng của công thức Lorentz cho một số trường hợp liên hệ trong truyền thuyết (‘du hành thời gian’) ở Á Đông.

4.2.1 Hiện tượng kéo dài thời gian có thể hiện diện trong truyền thuyết về Lưu Thần (thời Đông Hán) và Nguyễn Triệu lạc vào núi Thiên Thai khi đi hái thuốc. Sau nửa năm kết hôn cùng hai cô gái địa phương (hay hai nàng tiên ở cõi trời), hai chàng nhớ quê nên trở về thăm trong sự ngậm ngùi của hai nàng: không biết ngày nào sẽ gặp lại nhau vì non tiên và trần giới là hai cảnh khác nhau. Khi về thì xóm làng xưa thì hai chàng thấy đã khác hẳn, không thấy bạn bè bà con khi xưa nữa. Hỏi ra thì mới nghe một ông già kể lại rằng cụ tổ bảy đời đi hái thuốc trên núi rồi mất tích luôn! Khi hai chàng trở lại tìm trên núi Thiên Thai thì không thấy tiên nữ đâu cả. So sánh thời gian xa quê của hai chàng và thời gian đã trôi qua, ta có thể thiết lập phương trình gần đúng từ câu chuyện này như sau (dựa vào khoảng thời gian đã kể lại trong bài ) để tìm ra vận tốc di chuyển (giả sử hai chàng ‘lên cõi tiên’ với vận tốc v2). Khoảng nửa năm ở tiên cảnh (t = 0.5 năm) so với 7 đời người ở thế gian ~ 7×25 = 175 năm, do đó

t’ = 350t    dẫn đến  350 = ɣ

Hay giải phương trình trên và tìm vận tốc v2 (của hai chàng lên núi, một ‘cõi không gian’ đặc biệt) thì ta được v2 = 0.999995918c …..Vận tốc di chuyển v2 rất cao nhưng nhỏ hơn c.

4.2.2 Trường hợp gần đây có thể liên hệ đến hiện tượng kéo dài thời gian (Time dilation)

Vào năm 1967, nhà sư Thích Khoan Tịnh 釋寬淨 (1924-2007) đột nhiên biến mất trong lúc thiền định ở động Di Lặc tỉnh Phước Kiến ở Trung Quốc, và chỉ xuất hiện lại vào năm 1973. Theo nhà sư kể lại thì ngài đã đi thăm cõi Tây Phương Cực Lạc và cõi Đâu Suất) được 1 ngày 1 đêm (coi như là 1 ngày) so với 6 năm 5 tháng ở trần thế (= 6×365 + 5×30 = 2340 ngày), dựa vào lời kể này ta có thể lập phương trình sau với v1 là vận tốc di chuyển (giả sử nhà sư đã ‘đi vào vũ trụ’ với vận tốc v1):

t’ = ɣt   do đó    2340t = ɣt    hay   2340 = ɣ

Giải phương trình trên để tính ra v1, ta được

v1 = 0.999999908c (vận tốc di chuyển và hoạt động của pháp sư Khoan Tịnh rất gần với vận tốc ánh sáng c).

Xem thêm chi tiết về  “Tây Phương Du Ký” của pháp sư Thích Khoan Tính trên mạng như http://www.tamlinh.net/tayphuongduky/tayphuong.html hay trên trang https://www.tpcdct.org/article/1540 …v.v…

4.2.3 Chuyện Từ Thức gặp nàng tiên Giáng Hương

Từ Thức là một quan lại thời nhà Trần, theo Truyền Kỳ Mạn Lục của Nguyễn Dữ, có duyên gặp nàng Giáng Hương và nên nghĩa vợ chồng. Sau khoảng một năm ở ‘cõi trên’, chàng về quê cũ thăm nhưng không ai nhận ra, chỉ nghe một cụ trả lời là truyền thuyết gia đình cho biết là có người thân cùng tên họ đã đi vào núi mất tích khoảng 80 năm nay. So sánh thời gian xa quê (khoảng 1 năm) và thời gian đã trôi qua ở nhà, ta có thể thiết lập phương trình gần đúng từ câu chuyện này như sau

t’ ~ 80t   hay   80 = ɣ

Giải phương trình trên để tính ra v3, ta được

v3 = 0.999921871c

4.3 Ta hãy xem lại vấn đề con người di chuyển, di cư, di thiên hay đi một nơi xa xôi nào đó … Khi đi tới và ở một nơi mới, sau đó trở lại quê nhà thì 3 trường hợp có thể xẩy ra:

(a) thời gian như nhau (mình già như các bạn bè hay họ hàng thân quyến còn ở lại)

(b) thời gian ngắn  đi ở nơi xuất xứ (mình già hơn bạn bè họ hàng thân quyến còn ở lại)

(c) thời gian kéo dài (mình trẻ hơn bạn bè họ hàng thân quyến còn ở lại)

Nếu mà cứ nhắm mắt chọn một cách ngẫu nhiên (randomly), thì xác suất của mỗi trường hợp là 1/3, nhưng nếu dựa vào trực giác (thông thường của kinh nghiệm con người hiện đại) thì lại thiên về trường hợp thứ nhất (a). Tại sao các truyền thuyết cổ đại như cõi Đâu Suất, Lưu Nguyễn lạc chốn Thiên Thai, Từ Thức … đều chọn trường hợp thứ ba (c) hay tương thích với hiện tượng kéo dài thời gian (Time dilation, tuổi thọ cao hay sống lâu hơn bình thường) của lý thuyết tương đối? Bạn đọc có bao giờ về thăm quê và ‘cảm nhận’ (trong tâm thức) là mình có trẻ hơn so với những người còn ở lại quê nhà? (đương nhiên là đã so sánh các ảnh hưởng khác nhau do nghề nghiệp và địa phương của từng cá nhân).

Hiện tượng giãn nở thời gian, với vận tốc di chuyển cao, có thể liên hệ đến vũ trụ quan truyền thống của Phật giáo[13], thí dụ như 6 tầng trời (‘cõi trên’) của cõi dục

– Đạo Lợi thiên có 1 ngày 1 đêm bằng khoảng 100 năm trên thế gian (con người)

– Dạ Ma thiên có 1 ngày 1 đêm bằng khoảng 200 năm trên thế gian

– Đâu Suất thiên[14] có 1 ngày 1 đêm bằng khoảng 400 năm trên thế gian

– Hoá Lạc thiên có 1 ngày 1 đêm có 1 ngày 1 đêm bằng khoảng 800 năm trên thế gian

– Tha hoá tự tại thiên có 1 ngày 1 đêm bằng khoảng 1600 năm trên thế gian

…v.v…

Tóm lại, VBL đã cho ta nhiều dữ kiện về cách gọi ngày (tháng, năm) như hôm qua, hôm kia, kìa, kiết, kiệt so với mai, ngày kia, kìa; để ý cách gọi 5 ngày đã qua so với cách gọi 3 ngày sẽ tới[15]. Các từ chỉ không gian như trước, sau mà VBL ghi là cũng chỉ thời gian: một tài liệu đầu tiên ghi lại liên hệ không gian và thời gian trong tiếng Việt và sau gần 4 TK, ngành Ngôn Ngữ Học Tri Nhận (Cognitive Linguistics) mới bắt đầu triển khai khái niệm này. Các từ chỉ không gian/thời gian kia, kìa, kỉa dựa vào đặc tính thanh điệu của tiếng Việt còn có thể liên hệ đến từ HV ki/kì từng là một đại từ nhân xưng cho ngôi thứ ba (số nhiều/ít). Không phải ngẫu nhiên mà VBL lại có mục kì, thửa để chỉ cái ấy, người ấy. Quá trình hình thành tiếng Việt cho thấy vết tích giao lưu lâu đời với phương bắc qua Hán ngữ (td. ki/kì – kia/kìa/kỉa) và phương nam (td. kia ~ tê – tiếng Chăm), so với hôm[16] có thể liên hệ đến tiếng Thái ค่ำ (kâm). Yếu tố không gian (khoảng cách đối với người nói, giới hạn không gian cụ thể) còn thể hiện qua đại từ nhân xưng chúng ta so với chúng tôi, hay anh/chị/bạn này so với anh/chị/bạn kia: tiếng Anh và Pháp không có sự phân biệt này trong các cách dùng we/nous và you/vous/tu chẳng hạn. Nhìn rộng ra hơn nữa, tương tác giữa không gian (khoảng cách, tốc độ di chuyển) và thời gian – qua hiện tượng giãn nở thời gian – có thể đã góp phần không nhỏ trong cấu trúc của các truyền thuyết Á Đông như truyện Lưu Thần/Nguyễn Triệu đời Hán, Từ Thức và Giáng Hương thời nhà Trần ở VN, và gần đây hơn là truyện pháp sư Khoan Tịnh trong Cực Lạc Du Lãm Kí[17] …v.v… Khả năng du hành với tốc độ cao (gần bằng vận tốc ánh sáng, td. qua thiền định) giải thích được khoảng thời gian đi qua rất lớn so với thời gian vắng mặt (du hành lên cõi trên) của các nhân vật trong truyền thuyết. Ngoài ra, VBL còn cung cấp một số thông tin về phương ngữ VN, trong giai đoạn manh nha của chữ quốc ngữ, như cách dùng tê ở Đàng Trong so với kia, cách dùng mô chẳng hạn. Các cách nói tương đương này là kết quả của quá trình phân tách địa lý và chính trị của Đàng Ngoài và Đàng Trong, dù rằng quá trình phân hoá địa-chính trị chỉ xẩy ra trong vòng 1 TK trước đó. Hi vọng bài viết này gợi ý cho bạn đọc, cũng như một động lực để tìm hiểu/tra cứu sâu xa hơn về tiếng Việt và khám phá thêm nhiều kết quả thú vị trong quá trình hình thành ngôn ngữ toàn dân.


  1. Tài liệu tham khảo chính

1) Pigneau de Béhaine (1772/1773) – Bá Đa Lộc Bỉ Nhu “Dictionarium Annamitico-Latinum” Dịch và giới thiệu bởi Nguyễn Khắc Xuyên, NXB Trẻ (Thành Phố HCM – 1999).

2) Lera Boroditsky (2011) “How languages construct time” trong cuốn “Space, Time and Number in the Brain: Searching for the Foundations of Mathematical Thoughts” Chủ Biên: Stalisnas Dehaene và Elizabeth Brennon 333-41. London, Elsevier

3) Philiphê Bỉnh (1822) “Sách Sổ Sang Chép Các Việc” NXB Viện Đại Học Đà Lạt, 1968.

                           (1822) “Phép Giảng Tám Ngày”, “Truyện nước Anam Đàng trong quyển nhị”. Các tài liệu viết tay khác của chính tác giả còn lưu trữ trong thư viện tòa thánh La Mã.

4) Jean Bonet (1899) “Dictionnaire annamite-français : langue officielle et langue vulgaire” có thể tham khảo trên trang này https://www.lexilogos.com/vietnamien_dictionnaire.htm

5) Huỳnh Tịnh Của (1895-1896) “Đại Nam Quấc Âm Tự Vị” Tome I, II – Imprimerie REY, CURIOL & Cie, 4 rue d’Adran (SaiGon).

6) Nguyễn Đức Dân (2009) “Tri nhận thời gian trong tiếng Việt” có thể tham khảo bài viết này trên trang này chẳng hạn Ngôn ngữ học (ngonngu.org) …v.v…

7) J. F. M. Génibrel (1898) “Dictionnaire annamite français” Imprimerie de la Mission à Tân Định (SaiGon).

8) Nguyễn Quang Hồng (2015) “Tự điển chữ Nôm dẫn giải” Tập 1 và 2 – NXB Khoa Học Xã Hội/Hội Bảo Tồn Di Sản Chữ Nôm (Hà Nội).

9) Gustave Hue (1937) “Dictionnaire annamite-chinois-français” Imprimerie Trung-hoà – NXB Khai Trí (Sài Gòn) in lại năm 1971 theo bản gốc năm 1937.

10) Josepho Maria Morrone (khoảng đầu TK 19) “Lexicon Cochin-sinense Latinum” đăng trong cuốn “A Dissertation on the nature and character of the Chinese system of writing” viết bởi nhà ngôn ngữ Mỹ Peter Stephen Du Ponceau (1838), in lại bởi NXB Kessinger Publishing. Kèm thêm bảng từ vựng căn bản có 333 chữ Nôm và chữ quốc ngữ với giải thích về cấu trúc và nghĩa – có thể tham khảo tài liệu này trên mạng như https://archive.org/details/c495.11d937.2lexicon/page/n21/mode/2up?view=theater …v.v…

11) Alexandre de Rhodes (1651) “Phép Giảng Tám Ngày” – Tủ Sách Đại Kết in lại từ Tinh Việt Văn Đoàn (1961 – Sài Gòn) với phần giới thiệu của tác giả Nguyễn Khắc Xuyên.

                                    (1651) “Dictionarium Annamiticum Lusitanum et Latinum” thường gọi là từ điển Việt-Bồ-La; bản dịch của Thanh Lãng, Hoàng Xuân Việt, Đỗ Quang Chính – NXB Khoa Học Xã Hội, Thành Phố HCM (1991).

                                   “Tường Trình về Đàng Trong 1645” bản dịch của Hồng Nhuệ, NXB Ánh Sáng Publishing, Escondido (California/Mỹ, 1994?).

                                   “Lịch sử Vương Quốc Đàng Ngoài từ 1627 tới năm 1646” dịch giả Nguyễn Khắc Xuyên – Tủ sách Đại Kết, Thành phố HCM (1994).

12) Jean Louis Taberd (1838) – tên Việt là cố Từ – “Dictionarium Annamitico-Latinum” Serampore (Bengale) và cuốn tự điển La Tinh – Việt (Dictionarium Latino-Annamiticum – completum et novo ordine dispositum – 1838).

13) Bùi Khánh Thế (Chủ biên)/Phú Trạm, Quảng Đại Cẩn (1996) “Từ Điển Việt Chăm” NXB Khoa Học Xã Hội – Trung Tâm nghiên cứu Việt Nam – Đông Nam Á (Thành phố HCM).

14) J. S. Theurel (1877) “Dictionarum Anamitico-Latinum” LM Theurel ghi nhận LM Taberd khởi thảo và ông cố tình ‘bổ sung’ ngay trong cách giới thiệu trang đầu, (td. hàm ý các cách dùng Đàng Ngoài khác với Đàng Trong/NCT) – Ninh Phú (Đàng Ngoài).

15) Nguyễn Cung Thông (2018) “Cách nói “xuống thuyền, trên trời, ra đời, Đàng Trong/Ngoài … thời LM Alexandre de Rhodes (phần 1)” có thể đọc toàn bài trên trang này https://dotchuoinon.com/2017/09/17/cach-noi-xuong-thuyen-tren-troi-ra-doi-dang-trongngoai-thoi-lm-alexandre-de-rhodes-phan-1/; “Cách nói tôi, ta, tao, tớ, qua, min … Tiếng Việt thời LM de Rhodes (phần 2)” có thể tham khảo bài viết này trên trang này http://chimvie3.free.fr/89/nguyencungthong/ncthong_TiengVietThoiDeRhodes89.htm ; “Tiếng Việt từ TK 17 – vài nhận xét về cách dùng thì hiện tại/tương lai/quá khứ (phần 16)” có thể đọc toàn bài trên trang này chẳng hạn https://nghiencuulichsu.com/2019/05/21/tieng-viet-thoi-lm-de-rhodes-vai-nhan-xet-ve-cach-dung-thi-hien-tai-tuong-lai-qua-khu-phan-16/ ….

16) Pierre-Gabriel Vallot (1898) “Dictionnaire franco-tonkinois illustré” NXB F.H. Schneider (Hà Nội).

17) Lê Thị Cẩm Vân (2023) “QUY CHIẾU THỜI GIAN TRONG TIẾNG VIỆT TỪ GÓC NHÌN NGÔN NGỮ HỌC TRI NHẬN” luận án tiến sĩ Ngôn Ngữ Học – đại học Huế (2023).

Phụ Trương

  1. 1. Học giả Gustave Hue (1937) cũng ghi hôm kiệt là cách đây 5 ngày như VBL (il y a cinq jours/P), nhưng hôm kiết lại có nghĩa là cách đây 6 ngày (il y a six jours/P) khác với VBL:

Tự điển Việt Hoa Pháp (G. Hue, 1937)

Học giả Theurel (1877) cũng ghi nghĩa hôm kiết là cách đây 6 ngày:

Tự điển Việt La Tinh (Theurel, 1877)

  1. Mốt hay ngày mốt (perendie/L) không thấy trong VBL, xuất hiện trong tự điển Béhaine (1772/1773) và Taberd (1838), tự điển chép tay của Morrone (khoảng đầu TK 19):

Tự điển Béhaine (1772/1773), Taberd (1838) in lại hoàn toàn.

Các chữ Nôm cổ dựa vào chữ 蔑 miệt HV để chỉ âm một hay mốt, có khi dùng 沒 một HV (cho âm một). Béhaine/Taberd thêm bộ nhật vào chữ miệt cho rõ nghĩa (ngày mốt).

  1. Mô là chi, gì, đâu … đi mô ~ đi đâu (quid/L – VBL trang 473). Tự điển chép tay Morrone (sđd) ghi rõ mô là phương ngữ[18] của xứ Nghệ:

VBL trang 473

Mần[19] không hiện diện trong VBL/BBC/PGTN nhưng xuất hiện trong tự điển Béhaine, Taberd – tự điển chép tay Morrone ghi rõ mần là phương ngữ của xứ Nghệ (An), tương đương với làm:


[1] Nghiên cứu ngôn ngữ độc lập ở Melbourne (Úc) – email nguyencungthong@gmail.com

[2] Bắt đầu từ Thanh Lãng, Hoàng Xuân Việt, Đỗ Quang Chính – NXB Khoa Học Xã Hội, Thành Phố HCM (1991) cho đến gần đây hơn là cuốn “Từ điển Việt- Bồ – La và các cứ liệu liên quan” do NXB Tôn Giáo và nữ tu Maria Therese Bùi Thị Minh Thuỳ (2021).

[3] Phương ngữ Bình-Trị-Thiên còn dùng ngày tê là ngày sau ngày mai (the day after tomorrow) – theo luận án TS “Vietnamese demonstratives: A spatially-based polysemy network” (2014, University of Queensland) của Linh Thuy Bui – td. “Ngày mai ngày tê rảnh tui sẽ …” trang 90.

[4] GS Phạm Văn Tình còn ghi nhận cách nói ngày kĩa, ngày kịa (trong khẩu ngữ) sau các ngày kia, ngày kìa – tham khảo bài viết “Chữ và nghĩa: Ngày kĩa và ngày kịa” (1/2022) trên trang này chẳng hạn https://thethaovanhoa.vn/chu-va-nghia-ngay-kia-va-ngay-kia-20220119065444089.htm …v.v…

[5] ĐNQATV còn ghi các cách dùng đặc biệt như kì ngày nghĩa là hẹn ngày, kì nợ là hẹn nợ … So với cách dùng kì giờ là hẹn giờ trong VBL. Không thấy cách dùng này trong tiếng Việt hiện nay.

[6] Nhưng theo các học giả Cao Bổn Hán, Trịnh Trương Thượng Phương, Phan Ngộ Vân, Bồ Lập Bổn, Thôi Đạo (Hiện Đại Hán Ngữ) thì dạng trung cổ phục nguyên của kì là *ki so với dạng *giə – tham khảo thêm chi tiết trên trang này https://www.zdic.net/zd/yy/sgy/%E5%85%B6 …v.v…

[7] Tứ Thư là bốn tác phẩm kinh điển của nền Khổng học Trung Quốc gồm có Đại Học, Trung Dung, Luận Ngữ và Mạnh Tử. Tứ Thư và ông/đạo Khổng, đạo Nhu (Nho) đều xuất hiện trong VBL.

[8] Tham khảo thêm chi tiết trong mục kì 其 trong cuốn “ABC Etymological Dictionary of Old Chinese” tác giả Axel Schuessler, NXB University of Hawai’i Press (2007).

[9] Tiếng Việt với tư duy tổng hợp (synthetic thinking – nhìn từ xa/bao quát hơn) mở rộng cách dùng và đề cao liên hệ gia đình/xã hội/môi trường chung quanh cũng như truyền thống – khác với ngôn ngữ Tây phương qua tư duy phân tách (analytical) giới hạn/co lại và đề cao cá nhân qua cách dùng đại từ (td. you/vous/tu – we/nous).

[10] VBL trang 711 và 821 giải thích chúng ta bao gồm bạn bè, khác với chúng tôi thì chỉ dùng đại từ nhân xưng La Tinh nos … Phần tiếng Bồ Đào Nha thì chúng tôi là nos và chúng ta là nos outros (chúng tôi và các người khác nữa, hàm ý bao gồm nhiều người hơn).

[11] Thí dụ như PGS TS Daniel Casasanto, dạy Tâm Lý Học và Các Giai Đoạn Phát Triển Con Người (Human Developments) ở đại học Cornell (Mỹ): khi tìm hiểu về các liên hệ giữa từ chỉ không gian và thời gian (như chiều dài so với ngày/tháng/năm dài …) thì cho rằng hiện tượng này có khả năng trở thành phổ quát (universal/A) – tham khảo bài viết “The weird way language affects our sense of time and space” trên trang này chẳng hạn (4/11/2022) https://www.bbc.com/future/article/20221103-how-language-warps-the-way-you-perceive-time-and-space …v.v…

[12] Không nên lầm vũ trụ 宇柱 với chữ trụ viết bằng bộ mộc nghĩa là mái hiên và cột (trụ) nhà.

[13] Td. Kinh Thế Kỉ, Trường A Hàm, ghi bay đi hay bay đến không hạn số (trong 10 loại pháp ở cõi trời, hay của chư Thiên) hàm ý vận tốc d chuyển không giới hạn. Ngoài ra, thời gian càng lớn khi ở ‘tầng trời’ cao hơn (cách xa trái đất nhiều hơn) liên hệ đến vận tốc cao hơn, phù hợp với hiện tượng giãn nở của vũ trụ (expanding universe) và mô hình vũ trụ vụ nổ lớn (big bang).

[14] Tham khảo thêm chi tiết bài viết (2010) “Tản mạn về cõi Đâu Suất và lý thuyết tương đối” cùng tác giả (NCT) trên trang này chẳng hạn https://sachhiem.net/VANHOC/NGCGTHG/NguyenCungThong04.php …v.v…

[15] Có lẽ vì trọng quá khứ trong truyền thống văn hoá/xã hội (cụ thể là thờ cúng tổ tiên) từ một tư duy tổng hợp, nên tiếng Việt dùng nhiều thì quá khứ (đã/đà) so với thời hiện tại (đang/đương) và tương lai (sẽ): td. trong PGTN đã xuất hiện 455 lần so với sẽ 12 lần và đang 13 lần. Trong Truyện Kiều đã xuất hiện 304 lần so với sẽ 16 lần và đang 10 lần …v.v…

[16] một dạng chữ Nôm của hôm là hâm HV 歆: dạng tiền Thái (proto Tai) là *ɣamᴮ (nghĩa là đêm) so với tiếng Thái kâm, Thái Bắc/Lào kham > *ham > hôm tiếng Việt. Tiếng Mường (Bi) hôm là đêm, hôm khau ~ đêm sau, ti khâm ~ đi đêm (mà không đèn/đuốc) Tiếng Việt sao hôm chỉ Kim tinh khi về đêm và sao mai khi bình minh.

[17] Tham khảo bản dịch “Cực Lạc Du Lãm Kí” của pháp sư Khoan Tịnh, HT Thích Thiện Tâm dịch – NXB Phương Đông (2015) – trên trang này chẳng hạn https://books.google.com.au/books?id=yYBRAQAAQBAJ&printsec=frontcover&redir_esc=y#v=onepage&q&f=false …v.v…

[18] Phương ngữ Thanh Hoá vẫn còn dùng mô (đâu), tê (kia), nớ (ấy) … Sau năm 1471, một số dân Thanh-Nghệ theo vua Lê Thánh Tông mở đất phương Nam, dẫn đến một số phương ngữ khác như Huế, Quảng Nam …v.v…

[19] Từ thuở nhỏ ở Sài Gòn (thập niên 1950, 1960), người viết thường nghe đi mần (~ đi làm) rất ‘nam bộ’ – tự điển chép tay Morrone cho biết là cách dùng này đã hiện diện ở xứ Nghệ vào cuối TK 18, dẫn đến ghi nhận “mần răng’ ở Huế (Génibrel, 1898) …v.v…

2 thoughts on ““Tiếng Việt từ TK 17: các cách dùng bên kia, hôm kia, hôm kìa, hôm kiết, hôm kiệt, ngày kia, ngày kìa – tương tác giữa thời gian và không gian” (phần 46)

  1. Thông tin thêm:

    Để dễ cảm thông các trường hợp du hành thời gian hơn – đầu tiên là ngịch lý sinh đôi hay nghịch lý anh em sinh đôi (Twin paradox/A), một hệ luận từ thuyết tương đối hẹp (thuyết tương đối đặc biệt ~ Special Relativity) do nhà bác học Albert Einstein đề xướng vào đầu TK 20. Giả sử có một cặp song sinh A và B trên trái đất. Bạn A ở lại trái đất và bạn B lên một con tàu vũ trụ để làm một chuyến du hành không gian, lúc đó cả hai đúng 20 tuổi – dựa vào đồng hồ trên trái đất (hệ quy chiếu A). Với một vận tốc di chuyển rất cao v, bạn B trở về trái đất thì thấy mình trẻ hơn bạn A nhiều: cụ thể là B đã 22 tuổi (chuyến du hành mất 2 năm theo đồng hồ của B) nhưng A đã già hơn nhiều vì đã 52 tuổi (30 năm đã qua trên trái đất) – đáng tuổi cha chú của mình! Thật ra trường hợp này không phải nghịch lý như một số người lầm tưởng, mà rất hợp lý nếu giải thích theo lý thuyết tương đối hẹp và dựa vào công thức Lorentz đã ghi bên trên:

    t’ = 30 năm so với t = 2 năm thành ra t’ = 15t hay ɣ = 15.  Từ đó, ta có thể tính ra vận tốc di chuyển của con tàu vũ trụ    v = 0.997775303c = 299.125.5 m/s

    Nguyễn Cung Thông

    Thích

  2. Khảo cứu công phu. Đáng trân trọng. Phải khen kiến thức uyên thâm của Giáo Sư.

    Cách đọc theo phiên thiết, nay rất ít người nắm vững; chỉ dành riêng cho những chuyên gia về ngôn ngữ (Hán cổ), nhà khảo cổ học… Cảm phục.

    Thích

Bình luận về bài viết này