12. Một câu chuyện kỳ lạ và phi thường

Howard Eves
Trần Quang Nghĩa lược dịch
Trong bài trước, chúng ta đã chứng kiến chàng thi sĩ- toán học Omar Khayyam giải phương trình bậc 3 bằng hình học. Trong bài này, chúng ta sẽ tìm hiểu làm thế nào, sau 500 năm, nhà toán học Ý cuối cùng đã tìm cách giải được phương trình bậc 3, và rồi chỉ một thời gian ngắn sau đó, phương trình bậc 4. Những thành tựu này đánh dấu những cột mốc ngoạn mục trong toán sử và xứng đáng vinh danh là HAI THỜI KHẮC TRỌNG ĐẠI CỦA TOÁN HỌC, thời khắc này nối gót theo thời khắc kia, và liên quan đến các nhân vật độc đáo trong toán học.
Khoảng 1515, Scipione del Ferro (1465-1526), một giáo sư toán tại Đại học Bologna, giải được thành công phương trình bậc ba khuyết : x3 + mx = n, chắc chắn dựa vào các công trình của người Ả rập đi trước. Ông ta không công bố thành tựu này mà chỉ nói cho người học trò là Antonio Maria Fior, khoảng 1535.

Tartaglia
Nicolo Fontana (1499-1557), có biệt danh là Tartaglia (người nói lắp) vì hồi nhỏ bị tai nạn khiến khả năng nói của ông bị tổn thương, tuyên bố đã giải được phương trình bậc ba khuyết bậc 1 : x3 + px2 = q . Nghĩ rằng đây chỉ là trò khoác loác, Fior thách đấu công khai với Tartaglia trong một thời gian ấn định trước sẽ giải các phương trình bậc ba do hai người đưa ra. Chấp nhận cuộc thách đấu, Tartaglia đã nổ lực hết sức mình và tìm được cách giải phương trình khuyết bậc 2 vài ngày trước khi cuộc thách đấu bắt đầu. Thế là bước vào trận, Tartaglia giải được cả hai dạng phương trình bậc 3, và thắng áp đảo vì đối thủ Fior chỉ giải được một dạng.

Cardano
Sau đó, Giro Cardano (1501-1576), một thiên tài độc đáo ở Milan, dạy toán và làm nghề thuốc ở Milan, sau khi hứa hẹn giữ bí mật, đã dụ được Tartaglia trao chìa khóa cách giải phương trình bậc 3. Năm 1545, Cardano cho in tác phẩm Ars magna ở Nuremberg, Đức, một công trình vĩ đại bằng tiếng Latin, trong đó ông gắn vào đó viên ngọc quí là phương pháp giải phương trình bậc 3 của Tartaglia. Tartaglia phản đối quyết liệt nhưng lời phàn nàn của ông đã bị Ferrari (1522- 1565), một học trò có năng lực nhất của Cardano đáp trả. Y lí giải rằng Cardano đã nhận thông tin này từ del Ferro qua một trung gian thứ ba, và kết tội chính Tartaglia mới là kẻ đạo văn. Tiếp theo đó là những chuỗi tranh cãi gay gắt mà Tartaglia may mắn lắm mới thoát khỏi được vô sự.
Những tình tiết trong câu chuyện có nhiều kịch bản khác nhau, thật khó cho những kẻ hậu sinh như chúng ta phân biệt đâu là thật, đâu là giả.
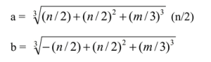
Cách giải phương trình bậc 3 khuyết bậc 2: x3 + mx = n được trình bày bởi Cardano trong quyển Ars magna như sau: xét đẳng thức:
(a – b)3 + 3ab(a – b) = a3 – b3
Nếu ta chọn a và b sao cho : 3ab = m và a3 – b3 = n thế thì x = a – b là nghiệm của phương trình.
Giải hệ 2 phương trình trên, ta được a và b:

và x sau đó được xác định bằng công thức gọi là
công thức Cardano-Tartaglia:
Để giải phương trình bậc 3 tổng quát:
ax3 + bx2 + cx + d = 0, ta dùng phép đổi ẩn phụ : x = z – b/3a, phương trình bậc 3 tổng quát có thể đưa về dạng:
z3 + mz = n, và như thế mọi phương trình bậc 3 đều giài được.
Không lâu sau khi cách giải phương trình bậc 3 đã được khám phá, phương pháp giải phương trình bậc 4 tổng quát cũng được tìm ra. Năm 1540, nhà toán học Ý da Coi gởi cho Cardano bài toán sau:
“Chia 10 thành ba phần sao cho ba phần ấy tỉ lệ và tích của hai số hạng đầu là 6.” Nếu gọi ba phần là a, b, c , thì ta có hệ:
a + b + c = 10, ac = b2 , ab = 6.
Bằng cách khử a và c, ta được phương trình tính b là phương trình bậc 4:
b4 + 6b2 + 36 = 60b
Cardano không thể giải phương trình này, nhưng học trò ông là Ferrari giải được, và qua đó giải được mọi phương trình bậc 4 có dạng: x4 + px2 + qx + r = 0, một dạng mà mọi phương trình bậc 4 đều có thể được đưa về qua phép đổi biến bậc 1. Phương trình trên tương đương với :
x4 + 2px2 + p2 = px2 – qx – r + p2
<=> (x2 + p)2 = px2 – qx – r + p2
Suy ra, với mọi y :
(x2 + p + y)2 = px2 – qx – r + p2 + 2y(x2 + p)+ y2
Hay
(x2 + p + y)2 = (p + 2y)x2 – qx + (p2 – r + 2py + y2)
Bây giờ ta chọn y sao cho vế phải của phương trình là một bình phương đúng. Trường hợp này xãy ra khi :
Δ = q2 – 4(p + 2y) (p2 – r + 2py + y2) = 0
<=> 4(p + 2y) (p2 – r + 2py + y2) – q2 = 0
Đây là phương trình bậc 3 ẩn y mà ta đã biết cách giải. Tìm được y rồi thì việc tìm nghiệm x từ phương trình trên chỉ là việc khai phương một số.
Cardano cũng không ngại đem phương pháp giải của Ferrari vào quyển Ars magna in năm 1545.
Còn có nhiều cách giải phương trình bậc 3, bậc 4 được phổ biến sau đó. Trong phần cuối bài này ta sẽ trình bày cách giải của nhà toán học Francois Viete (1540-1603) được in sau khi ông mất và cách giải phương trình bậc 4 cho bởi Rene’ Descartes (1596-1650) được công bố năm 1637. Tiếp theo chúng ta dành chút thời gian cho hai nhân vật chính: Cardano và Tartaglia, tác giả của phép giải phương trình bậc 3.

Cardano, một trong các nhân vật phi thường nhất trong lịch sử toán học, sinh tại Pavia năm 1501, là con ngoại hôn của một luật gia. Ông lớn lên trở thành một người với nhiều đam mê xung khắc, bắt đầu là một thầy thuốc, đồng thời nghiên cứu, dạy và viết toán song song. Sau một chuyến đi đến Scotland, ông giữ được những chức vị quan trọng ở đại học Pavia và Bologna. Như một nhà chiêm tinh, ông soạn những lá số tử vi, và có một lần bị bỏ tù vì tội bổ báng thánh thần khi dám cho in một lá số tử vi của Chúa Jesus. Sau khi từ nhiệm ở Bologna, ông chuyển đến Rome và trở thành một nhà chiêm tinh lỗi lạc, và kỳ lạ là người ta quên việc ông đã có lần bị phạt tù vì tội phạm thánh, lại cử ông làm chiêm tinh bên cạnh giáo hoàng. Ông mất tại Rome năm 1576, người ta bảo là ông tự tử cho đúng với ngày giờ mà ông đã công bố trong lá số tử vi của mình tự soạn.
Nhiều giai thoại kể về tính khí dữ tợn của ông, như có lần trong một cơn nóng giận, ông cắt đứt hai tai của đứa con trai chỉ vì nó làm ồn quá. Ông có nhiều kẻ thù, thành ra có thể những chuyện trên đã được thêu dệt nên. Nhưng không thể không nói ông là người thâm hiểm, vì chính ông đã tự khai như vậy trong quyển tự thuật của mình.
Là một người giỏi giang về nhiều mặt, Cardano đã viết nhiều tác phẩm về số học, thiên văn, vật lí, y học, và những đề tài khác. Công trình lớn lao nhất của ông là Ars magna, là tác phẩm đầu tiên viết bằng Latin chuyên về đại số. Trong đó đáng nói là ông có đề cập đến nghiệm âm và cả những phép tính về số ảo. Ông cũng trình bày mặc dù thô sơ việc tìm nghiệm gần đúng của một phương trình đa thức. Ông cũng biết chút ít về quy tắc xét dấu một đa thức mà sau này Descartes sẽ hoàn thiện. Là một người mê cờ bạc, ông cũng viết cả một cẩm nang đánh bạc, trong đó hé lộ đôi chút những ý tưởng về xác suất.
Còn Tartaglia thì trải qua một quãng đời tuổi thơ nghèo khổ. Ông sinh tại Brescia khoảng 1499 và khi người Pháp chiếm Brescia ông đã là một thiếu niên. Để thoát khỏi những cuộc chém giết dã man của lính Pháp, ông và cha ông, một người đưa thư, đã trốn chạy vào một nhà thờ cùng với một số người khác. Lính Pháp đuổi theo, và một cuộc tàn sát xảy ra ngay bên trong chốn thiêng liêng. Người cha bị chém chết, còn chàng thiếu niên thì bị chém ngang mặt, cắt đứt miệng và lưỡi. Khi người mẹ tìm đến thì còn kịp cứu con trai mình trong khi người chồng đã chết. Không thuốc men, không thầy thuôc, bà chỉ còn biết bắt chước thói quen chữa thương của các loài động vật là liếm vết thương của đứa con trai. Vết thương ở lưỡi khiến cho ông phải tật nói lắp, từ đó có biệt danh Tartaglia, có nghĩa là người nói lắp.
Mẹ ông chỉ gom góp đủ tiền để gởi ông đi học được 15 ngày. Lợi dụng cơ hội này, ông xoáy một quyển vở đánh vần và sau đó tự học cách đọc và viết. Thiếu phương tiện để mua dụng cụ dạy học, người ta kể rằng ông thường đến nghĩa địa, lấy bia mộ làm bảng viết. Những năm sau, ông kiếm sống bằng nghề dạy khoa học và toán trong những thành phố khác nhau của Ý. Ông mất năm 1557 tại Venice.
Tartaglia là một nhà toán học thiên tài. Ngoài công trình giải phương trình bậc 3, ông có lẽ là người đầu tiên áp dụng toán học trong khoa pháo binh. Ông viết một tác phẩm thường được coi là quyển số học tốt nhất của Ý ở thế kỉ thứ 16, trong đó trình bày đầy đủ các phép tính số và tính thuế thương mại. Ông cũng cho xuất bản những công trình của Euclid và Archimedes.

Viete
Các cách giải khác của phương trình bậc 3 và 4 đã được các nhà toán học đóng góp về sau này. Như Francois Viete, trong bản in năm 1615 sau khi ông mất, đã trình bày cách giải đẹp đẽ phương trình bậc 3x3 + 3ax = 2 như sau:
một dạng mà bất cứ phương trình bậc 3 tổng quát nào cũng có thể đưa về.
Đặt: x = a/y – y phương trình thành :
y6 + 2by3 = a3
đây là phương trình bậc 2 theo y3. Giải ta tìm được y3, suy ra y, từ đó tìm được x.
Cách giải phương trình bậc 4 của Viete tương tư như của Ferrari. Xét phương trình bậc 4 khuyết bậc 3 sau :
x4 + a x2 + bx = c
một dạng mà mọi phương trình bậc 4 đều có thể đưa về. Phương trình viết thành:
x4 = c – a x2 – bx
Cộng hai vế cho x2 y2 + y4/4, ta được :
(x2 + y2/2)2 = (y2 – a)x2 – bx + (y4/4 + c)
Bây giờ chọn y sao cho vế phải là một bình phương đúng, điều kiện là:
Δ = b2 – 4(y2 – a) (y4/4 + c)
<=> y6 – ay4 +4cy2 = 4ac + b2
là phương trình bậc 3 theo y2 mà ta đã biết cách giải. Tìm được y ta suy ra x một cách dễ dàng bằng phép khai phương.

Descartes
Cách giải của Descartes năm 1637 của phương trình bậc 4 khuyết: x4 + bx2 + cx + d = 0
là dùng phương pháp hệ số bất định. Cho vế trái của phương trình bằng với tích:
(x2 + kx + h)(x2 – kx + m)
Bằng cách khai triển và đồng nhất các hệ số, ta được hệ 3 phương trình theo k, h, m. Khử h và m từ ba phương trình này, ta được phương trình bậc 6 theo k, nhưng cũng là phương trình bậc 3 theo k2. Do đó việc giải phương trình bậc 4 đưa về việc giải phương trình bậc 3 liên kết với nó.
Vì việc giải phương trình bậc 3 rút ra từ việc giải phương trình bậc 2, rồi sau đó việc giải phương trình bậc 4 lại nhờ vào việc phương trình bậc 3, do đó, Euler, khoảng năm 1750, lao vào tìm cách giải phương trình bậc 5 từ một phương trình bậc 4, nhưng ông đã thất bại. Ba mươi năm sau, Lagrange cũng cùng chung cảnh ngộ. Một thầy thuốc người Ý là Paolo Ruffini (1765-1822) đã thử nhiều lần, nhưng chưa hoàn tất, phép chứng minh một sự kiện mà giờ đây đã là một định lí, rằng những nghiệm của phương trình bậc 5 hoặc cao hơn không thể biểu diễn được bằng các biểu thức vô tỉ của các hệ số của phương trình . Chân lí vĩ đại này đã được chứng minh một cách độc lập sau này, vào năm 1824, bởi nhà toán học Na Uy nổi tiếng là Niels Henrik Abel (1802-1829). Còn Évariste Galois (1811-1832), tử thương trong một vụ đọ súng tay đôi khi ông chỉ mới 21 tuổi, để lại một di cảo trong đó có công trình nghiên cứu về điều kiện để một phương trình đại số có thể giải được bằng các biểu thức căn. Nhưng chuyện này thuộc về Một Thời khắc Trọng đại khác của tương lai.

Abel Galois