Như Đóng Và Mở Cửa

Howard Eves
Trần Quang Nghĩa lược dịch
Ta nên nhớ rằng phép tính tích phân xuất phát từ thời Hy lạp cổ trong nổ lực tìm ra công thức tinh diện tích, thể tích và độ dài đường cong. Ý tưởng là, nếu xét về diện tích, xem nó là giá trị gần đúng của nhiều, rất nhiều mảnh nhỏ hình chữ nhật ghép lại. Sử dụng thuật ngữ mới, ta nói diện tích là giới hạn của tổng diện tích các miếng này khi số các miếng đó tăng lên vô hạn và chiều rộng của các miếng tiến đến 0.

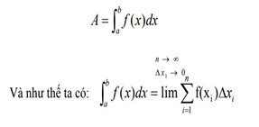
Với sự xuất hiện của hình giải tích vào thế kỷ mười bảy, vấn đề cuối cùng đã hình thành như sau: Cho y = f(x) có đồ thị là một đường cong liên tục nằm phía trên trục Ox trong hệ trục vuông góc Oxy. Xét diện tích A của phần giới hạn bởi trục Ox, đồ thị y = f(x), và hai đường thẳng x = a, x = b. Để tính diện tích A này, ta chia diện tích thành n miếng thẳng đứng có chiều rộng ∆x1, ∆x2 , . . . , ∆xi , . . ., ∆xn. Trong mỗi miếng ta chọn một tung độ : f(x1) trong miếng thứ nhất, . . ., f(xi) trong miếng thứ i . . . Tổng các diện tích của n miếng chữ nhật là giá trị gần đúng của diện tích A:

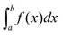
Nói một cách phóng khoáng, diện tích A là tổng của vô hạn hình chữ nhật vô cùng mỏng. Với kí hiệu tích phân do Leibniz sáng tạo, diện tích A trở thành một kí hiệu rất quen thuộc với chúng ta:

trong đó
là diện tích của một miếng chữ nhật vô cùng mỏng và chữ 
của kí hiệu được lấy từ mẫu tử đầu của từ sum nghĩa là tổng các miếng chữ nhật lấy từ x = a đến x = b.
Phép tích vi phân được sáng tạo trong thế kỷ 17, như đã đề cập trong bài trước, như vậy đạo hàm dF/dx của hàm số y = F(x) được định nghĩa như sau nếu giới hạn này tồn tại. Giới hạn này là độ dốc của tiếp tuyến với đồ thị hàm số y = F(x) tại điểm có hoành độ x.

Thoạt nhìn hình như phép tính vi phân và tích phân hoàn toàn khác nhau, một cái dựa vào tổng vô hạn của một lượng vô cùng nhỏ, còn cái kia là giới hạn của một thương mà tử và mẫu đều vô cùng bé. Trong nửa cuối thế kỷ thứ 17, một khám phá quan trong được phát hiện ra, cho thấy hai ý tưởng tưởng như khác nhau này, vi phân và tích phân, thật ra là những phép toán nghịch đảo nhau, cũng như phép cộng và trừ, phép nhân và phép chia. Sự kiện đáng kinh ngạc này được gọi là định lí nền tảng của phép vi tích phân, đánh dấu MỘT THỜI KHẮC TRỌNG ĐẠI CỦA TOÁN HỌC.
Chúng ta hãy trình bày vắn tắt phép chứng minh định lí nền tảng của phép tính vi tích phân.
Xét tích phân xác định:

trong đó f(x) là hàm số liên tục và không âm trên đoạn [a; b]. Như đã trình bày, tích phân này có thể coi như là diện tích giới hạn bởi đồ thị y = f(x), trục Ox, x = a, x = b.

Bây giờ ta xét diện tích giới hạn bởi đồ thị, trục Ox, x = a và một đường thẳng di động vuông góc với Ox tại điểm x thuộc đoạn [a; b]. Diện tích này phụ thuộc vào x, do đó là một hàm số theo x, ta kí hiệu hàm số này là A(x). Ta tìm: dA(x)/dx.

Cho x tăng lên một giá trị ∆x, thế thì A(x) tăng lên một giá trị ∆A (miền màu hồng). Dễ thấy rằng diện tích này nằm giữa diện tích hai hình chữ nhật có cùng chiều rộng là ∆x và có chiều cao lần lượt là miny và maxy trong đó miny, maxy lần lượt là giá trị nhỏ nhất và lớn nhất của hàm số f(x) trên đoạn [x , x + ∆x]. Do đó tồn tại một giá trị y* trung gian giữa miny và maxy sao cho:
∆A = y* . ∆x (diện tích miếng hình chữ nhật viền đen)
Suy ra: ∆A / ∆x = y*
Khi cho ∆x tiến tới 0 thì y* tiến tới y, từ đó:
Tức A(x) là hàm số có đạo hàm là f(x ).
Vì có vô số hàm số đều có đạo hàm là f(x) và nếu F(x) là một hàm số có đạo hàm là f(x) thì mọi hàm số có đạo hàm là f(x) đều có dạng F(x) + C, C là một hằng số tùy ý. Do đó:
A(x) = F(x ) + C
Để xác định số C này, ta thấy rằng A(x ) = 0 khi x = a , do đó: 0 = F(a) + C <=> C = – F(a)
và như thế A(x) = F(x) – F(a)
Để tìm diện tích A đã xác định ta chỉ việc thế x = b và được :
A = A(b) = F(b) – F(a)
Kết luận:

trong đó F(x) là một hàm số bất kì có đạo hàm là f(x).
Ta chỉ F(x) + C bằng kí hiệu

và được gọi là tích phân bất định của f(x). Rõ ràng tìm một tích phân bất định là công việc ngược lại với việc tìm đạo hàm, đó là hai phép toán nghịch đảo cũng như việc đóng cửa và mở cửa, việc châm đầy và rót cạn, phép cộng và phép trừ . . .
Trong chương trình của những sách giáo khoa gần đây (trong đó có VN: ND) ta định nghĩa tích phân xác định là hiệu F(b) – F(a) trong đó F(x) là một tích phân bất định (hay nguyên hàm của f(x)). Và như thế thì đẳng thức:

trước đây là định nghĩa thì bây giờ trở thành định lí.
Tác dụng của phép vi tích phân cho bởi định lí nền tảng nêu trên quá lớn lao đến sư phát triển không chỉ của toán học mà còn đến tiến bộ của nền văn minh, đến nổi ngày nay nếu người nào không biết đến nó, coi như là có khiếm khuyết về học vấn.
Công cụ mới này có sức mạnh không thể tin được nhằm giải quyết những bài toán đã gây bế tắc trong nhiều thế kỷ trước đây. Phương pháp của nó có thể áp dụng để tính độ dài đường cong, diện tích hình phẳng giới hạn bởi các đường cong, diện tích và thể tích các khối, đặc biệt là khối tròn xoay, các bài toán cực trị, mọi bài toán liên quan đến tốc độ biến thiên, những bài toán hình học về tiếp tuyến, pháp tuyến, tiệm cận, bao hình, và những câu hỏi về vật lý như tốc độ, gia tốc, công, năng lượng, lực, áp suất, trọng tâm, quán tính và lực hấp dẫn. . .
Thật ra phải qua một quá trình dài từ Archimedes (trước Công Nguyên), Fermat , Pascal (1629), qua Torricelli (1646), qua Gregory (1668), . . . rồi Barrow (1669) đến cuối cùng, dưới thiên tài của Newton và Leibniz, mới đột phá bùng nổ thành định lí nền tảng của vi tích phân, đưa toán học lên đến tầm cao mới. Đúng như Newton đã phát biểu một cách khiêm nhượng: ”Nếu tôi có thể nhìn xa hơn những người khác, đó là bởi vì tôi đã đứng lên vai của các vĩ nhân”
Chắc chắn không có chủ đề nào trong toán học mà việc dạy nó gây hứng thú hơn là dạy môn vi tích phân. Người ta thường nói đùa rằng có thể nhận ra một sinh viên đại học đã học qua môn vi tích phân bằng cách quan sát mắt anh ta: mắt anh ta không còn lông mày nữa. Vì phải trợn mắt một cách sững sờ thán phục quá nhiều lần khi chứng kiến quá nhiều ứng dụng đáng kinh ngạc của vi tích phân mà lông mày các sinh viên cứ rướn lên cao mãi rồi biến mất lúc nào không hay.

Hai cây đại cổ thụ của toán vi tích phân